Объясните пожалуйста: Алгебра 7 класс авторы: Макарычев, Миндюк, Нешков, Суворова. Номер 243 с уравнениями.
Ответы
Ответ дал:
0
это? или какой-то другой учебник?
Приложения:

Ответ дал:
0
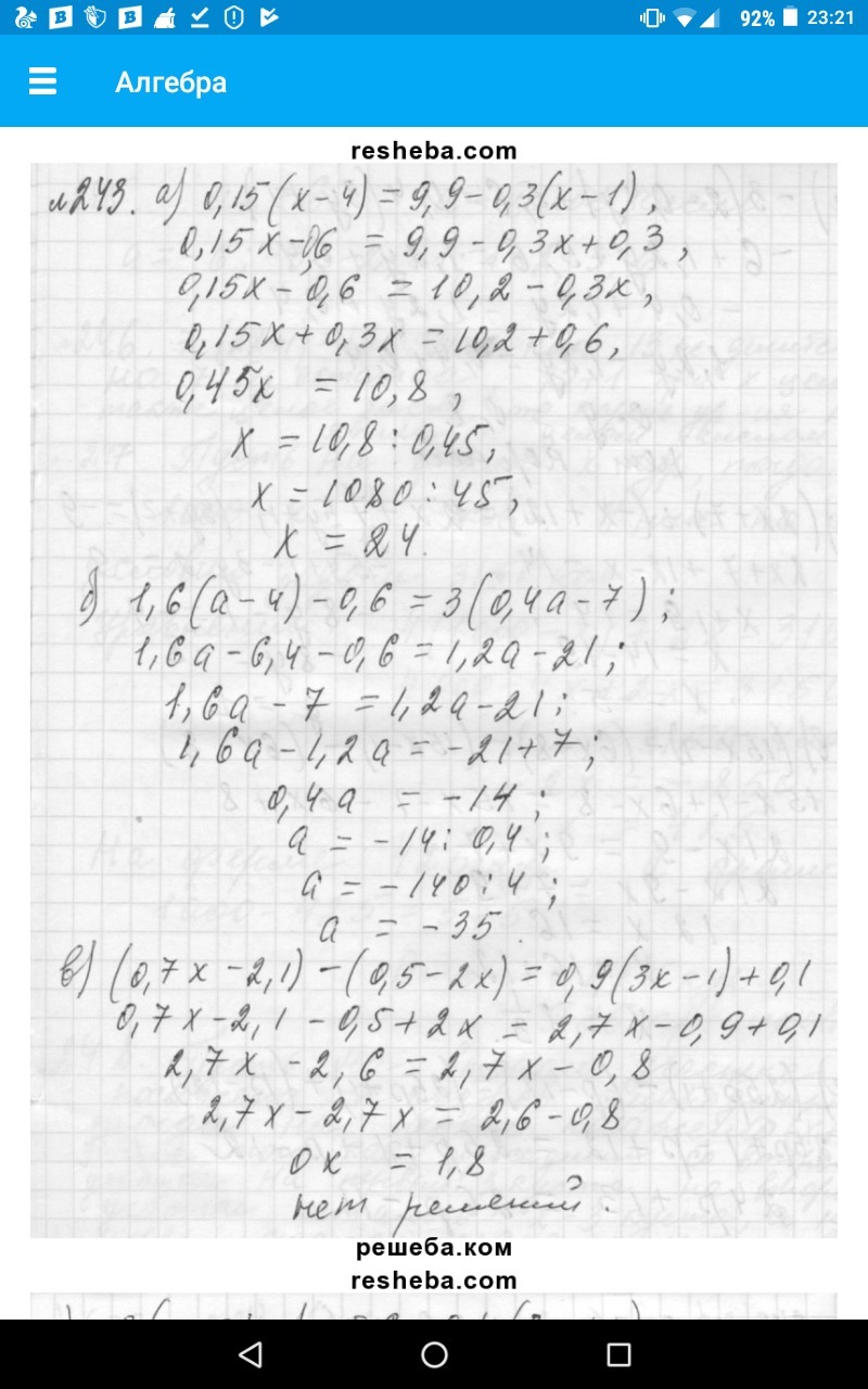
В общем уравнение - 0,15(х-4)=9'9-0,3(х-1)
Ответ дал:
0
Оно самое
Ответ дал:
0
спасибо большое
Ответ дал:
0
а) 0,15×(x-4)=9,9-0,3×(x-1)
0,15x-0,6=9,9-0,3x+0,3
0,15x+0,3x=-0,6+9,9+0,3
0,45x=-0,6+10,2
0,45x=9,2
x=920÷45
x=24
0,15x-0,6=9,9-0,3x+0,3
0,15x+0,3x=-0,6+9,9+0,3
0,45x=-0,6+10,2
0,45x=9,2
x=920÷45
x=24
Приложения:

Вас заинтересует
3 года назад
3 года назад
9 лет назад
9 лет назад