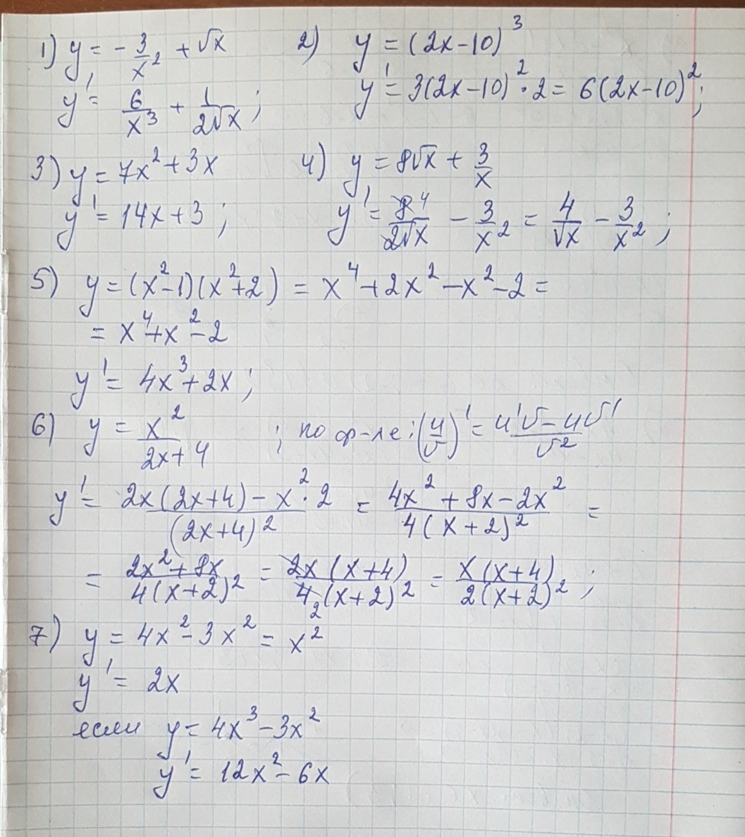
Найти производную функции :
y= -3/x²+√x
y=(2x-10)³
y=7x²+3x
y=8√x+3/x
y=(x²-1)(x²+2)
y=x²/2x+4
y=4x²-3x²
Ответы
Ответ дал:
0
решение задания смотри на фотографии
Приложения:

Ответ дал:
0
пожалуйста
Вас заинтересует
2 года назад
3 года назад
3 года назад
9 лет назад
9 лет назад
10 лет назад