• Предмет: Алгебра
  • Автор: alinamalinachka
  • Вопрос задан 9 лет назад

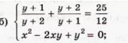
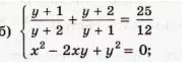
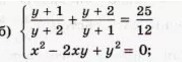
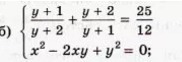
Помогите решить ! Пожалуйста !

Приложения:

Ответа на этот вопрос пока нет. Попробуйте найти его через форму поиска.

Вас заинтересует