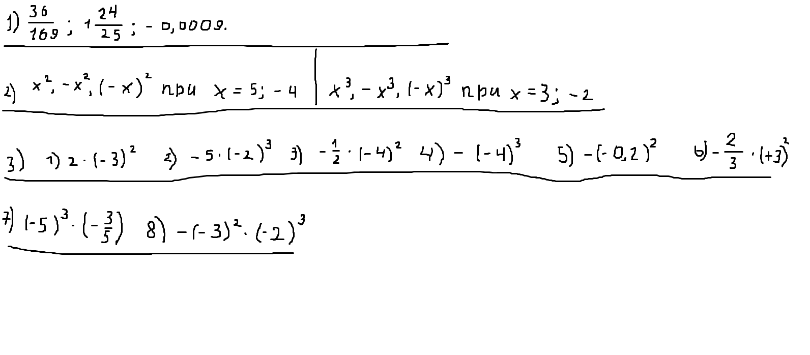
ребят помагите пожалуста решить задания всего 3 заданий в 1 задание нужно представить в виде квадрата числа 0.01;0.49;121 во 2 задание найти значение выражений в 3 задание нужно просто вычислить помагите пожалуста если сможете лучшее решение дам кто решит обещаю помагите пожалуста
Приложения:

Ответы
Ответ дал:
0
Вас заинтересует
2 года назад
2 года назад
10 лет назад
10 лет назад
10 лет назад