• Предмет: Алгебра
  • Автор: alinamalinachka
  • Вопрос задан 9 лет назад

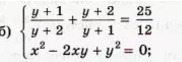
Помогите пожалуйста ! Я очень вас прошу !

Приложения:

Ответы

Ответ дал: kamilat
0
Сначала реши уравнение 1 , потом два .Для начала найди НОЗ
Вас заинтересует