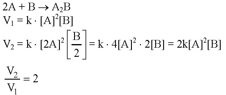
как изменится скорость элементарной реакции в газовом состоянии а=2в при увеличении давления в закрытом сосуде в 4 раза?
Ответы
Ответ дал:
0
!!!!!!!!!!!:):)):)::):):):):):):):
Приложения:

Ответ дал:
0
да
Ответ дал:
0
там все правильно! я две недели назад, делала такое в тестах по физике
Ответ дал:
0
Только это химия.:)
Ответ дал:
0
Ну мы делали по физике
Ответ дал:
0
Спасибо
Вас заинтересует
2 года назад
3 года назад
3 года назад
9 лет назад
9 лет назад
10 лет назад
10 лет назад