• Предмет: Алгебра
  • Автор: mika041
  • Вопрос задан 9 лет назад

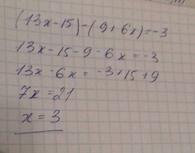
ребяят помогите срочно!!! найдите корень уравнения: а) (13х-15)-(9+6х)=-3

Ответы

Ответ дал: vpntk
0
.......................
Приложения:
Вас заинтересует