Здравствуйте, помогите решить домашнее задание:
Только подробно, полностью и качественно.
Приложения:

Ответы
Ответ дал:
0
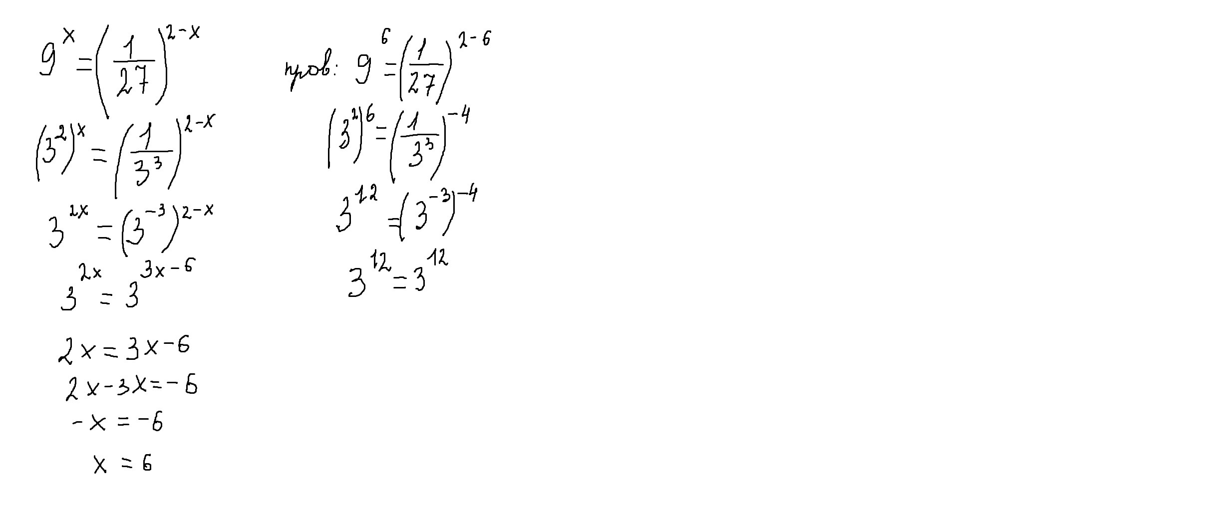
по св-ву степеней с одинаковым основанием выполним преобразования и потом решим уравнение
Приложения:

Ответ дал:
0
Спасибо огромное, случайно выбрал не Ваш ответ, как лучший. Случайно отметил как нарушение Ваш прекрасный ответ ( *^^^.
Ответ дал:
0
да я не гонюсь за"лучшим ответом" решаю просто для себя,но все равно мне приятно за Ваше внимание.
Вас заинтересует
2 года назад
3 года назад
3 года назад
10 лет назад
10 лет назад