• Предмет: Алгебра
  • Автор: veraafonina01
  • Вопрос задан 9 лет назад

СРОЧНО! Пожалуйста помогите решить примеры, а именно:
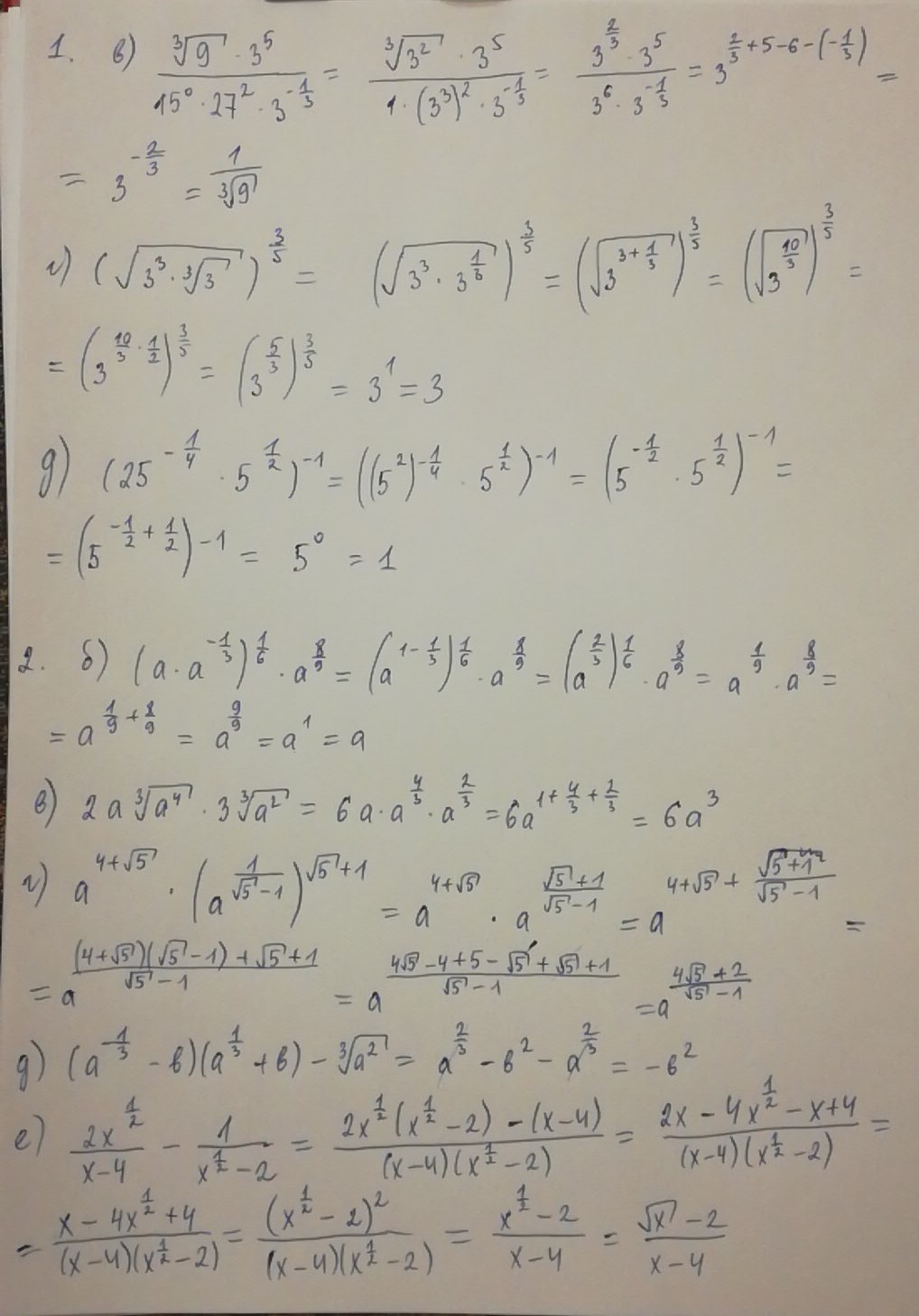
Задание 1) в); г); д).
Задание 2) б); в); г); д); е).
Хотя бы что-то из этого. Заранее спасибо

Приложения:

Ответы

Ответ дал: Inna0512
0
задание 1) в,г,д
задание 2) б,в,г,д,е
Приложения:
Ответ дал: veraafonina01
0
Огромное спасибо
Вас заинтересует