• Предмет: Геометрия
  • Автор: supreme69666
  • Вопрос задан 9 лет назад

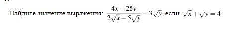
Найдите значение выражения: 4x-25y2√x-5√y - 3√y, если√x+√y=4
плиииз помогите

Приложения:

Ответа на этот вопрос пока нет. Попробуйте найти его через форму поиска.

Вас заинтересует