Ответы
Ответ дал:
0
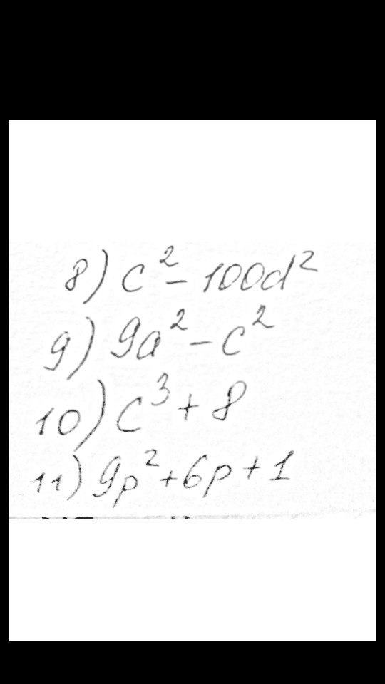
8)=(с-10d)(c+10d)
9)=(3a-c)(3a+c)
10)=(c+2)(c^2-2с+с^2)
11)=(3р+1)^2
9)=(3a-c)(3a+c)
10)=(c+2)(c^2-2с+с^2)
11)=(3р+1)^2
Вас заинтересует
2 года назад
3 года назад
3 года назад
9 лет назад
9 лет назад
10 лет назад