Ответы
Ответ дал:
0
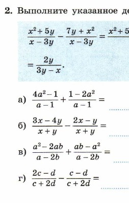
а^2-2ab/а-2b + ab-a^2/a-2b= a^2-2ab+ab-a^2/a-2b= -ab/a-2b=ab/2b-a
2c-d/c+2d - c-d/c+2d= 2c-d-c+d/c+2d= c/c+2d
2p^2+3/p-1 + p^2-4/p-1. - 3p^2-4/p-1 = 2p^2+3+p^2-4-3p^2+4/p-1= 3/p-1
2c-d/c+2d - c-d/c+2d= 2c-d-c+d/c+2d= c/c+2d
2p^2+3/p-1 + p^2-4/p-1. - 3p^2-4/p-1 = 2p^2+3+p^2-4-3p^2+4/p-1= 3/p-1
Вас заинтересует
2 года назад
2 года назад
3 года назад
3 года назад
9 лет назад
10 лет назад