Ответы
Ответ дал:
0
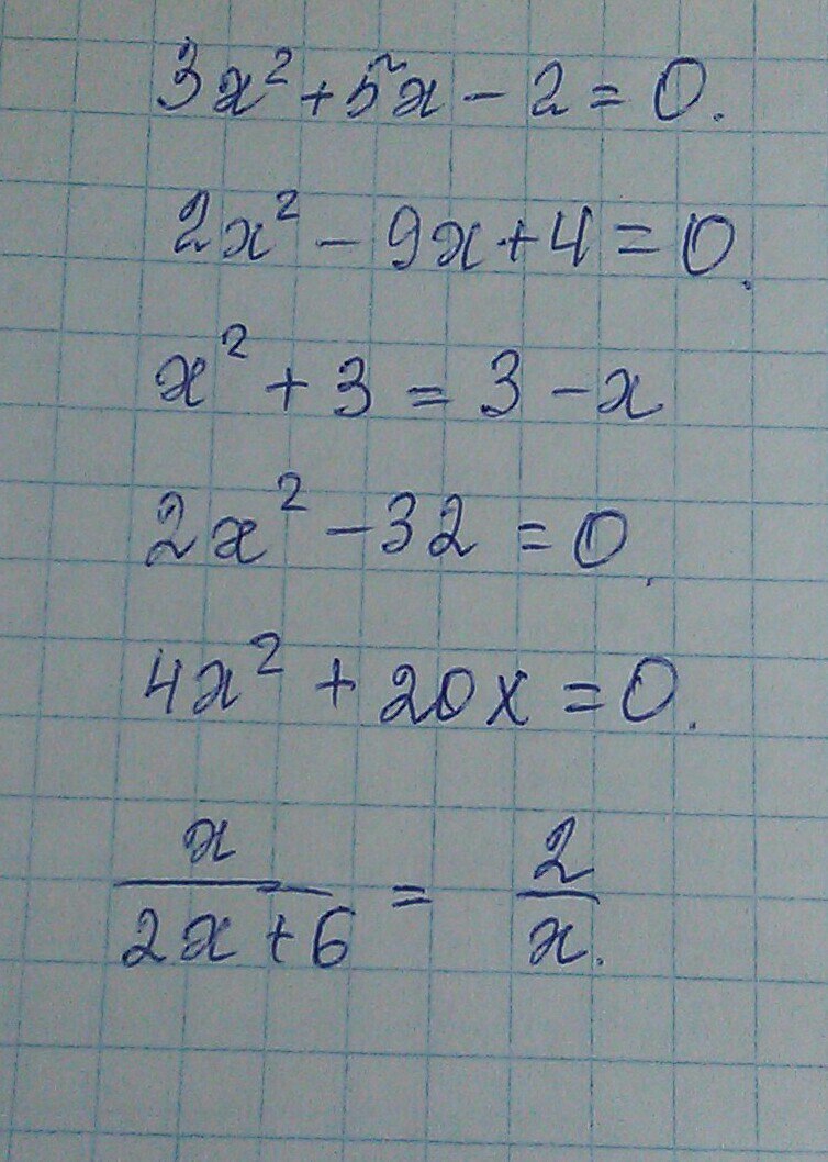
1) 3х^2+5x-2=0
D= 25-4*3*(-2)= 25+24=49
x1= (-5+ корень из 49): 2*3= 2/6=1/3
х2= (-5 - корень из 49): 2*3= -12/6= -2
2) 2х^2-9x+4= 0
D= 81- 4*2*4= 81-32= 49
x1= (9+ корень 49)/2*2= 16/4= 4
х2= (9- корень из 49)/2*2= 2/4=1/2
3) x^2+3=3-x
x^2+x+3-3=0
x^2+x=0
x*(x+1)=0; х1= 0 или х+1=0, значит, х2=-1
4) 2х^2=32 | делим на 2
x^2=16, x1=4, x2=-4
5) 4x*(x+5)=0; 4x=0 или x+5=0, значит, x1= 0, x2= -5
6) Решим пропорцией:
x*x= (2x+6)*2
x^2= 4x+12; x^2-4x-12=0
D= 16-4*1*(-12)= 16+48= 64
x1= (4+ корень из 64)/2= 12/2=6
х2= (4-корень из 64) / 2= -4/2= -2
D= 25-4*3*(-2)= 25+24=49
x1= (-5+ корень из 49): 2*3= 2/6=1/3
х2= (-5 - корень из 49): 2*3= -12/6= -2
2) 2х^2-9x+4= 0
D= 81- 4*2*4= 81-32= 49
x1= (9+ корень 49)/2*2= 16/4= 4
х2= (9- корень из 49)/2*2= 2/4=1/2
3) x^2+3=3-x
x^2+x+3-3=0
x^2+x=0
x*(x+1)=0; х1= 0 или х+1=0, значит, х2=-1
4) 2х^2=32 | делим на 2
x^2=16, x1=4, x2=-4
5) 4x*(x+5)=0; 4x=0 или x+5=0, значит, x1= 0, x2= -5
6) Решим пропорцией:
x*x= (2x+6)*2
x^2= 4x+12; x^2-4x-12=0
D= 16-4*1*(-12)= 16+48= 64
x1= (4+ корень из 64)/2= 12/2=6
х2= (4-корень из 64) / 2= -4/2= -2
Вас заинтересует
2 года назад
2 года назад
3 года назад
3 года назад
9 лет назад
9 лет назад