Ответы
Ответ дал:
0
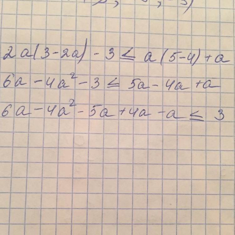
-4a²+4a-3≤0
D=4²-4*(-4)*3=16+48=64
√D=√64=8
x1=4-8/8=-0.5
x2=4+8=1.5
[-0.5; 1.5]
D=4²-4*(-4)*3=16+48=64
√D=√64=8
x1=4-8/8=-0.5
x2=4+8=1.5
[-0.5; 1.5]
Вас заинтересует
2 года назад
2 года назад
3 года назад
3 года назад
9 лет назад
9 лет назад
10 лет назад