• Предмет: Алгебра
  • Автор: rpw321
  • Вопрос задан 9 лет назад

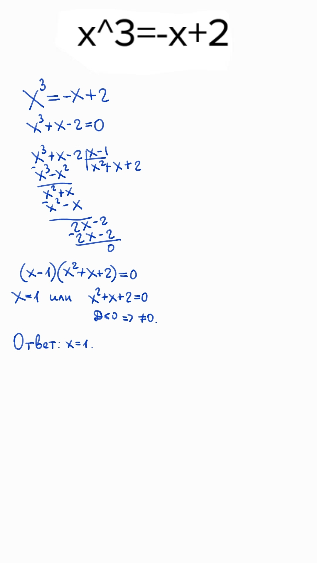
x^3=-x+2 математика 10 класс

Ответы

Ответ дал: Kirik009
0
Вроде все правильно, но лучше проверить
Приложения:
Вас заинтересует