• Предмет: Алгебра
  • Автор: ALKETA
  • Вопрос задан 9 лет назад

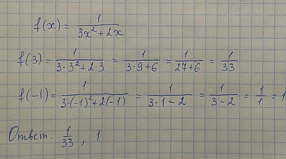
Функция задана формулой f(x) = 1/3x^2+2x.Найти f(3) и f(-1)

Ответы

Ответ дал: anna2501v
0
Чтобы найти f(3), нужно 3 подставить вместо х в функцию. Чтобы найти f(-1), нужно -1 подставить вместо х в функцию.
Приложения:
Вас заинтересует