• Предмет: Алгебра
  • Автор: ulay09
  • Вопрос задан 9 лет назад

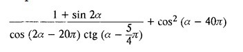
Упростите выражение,тригонометрия

Приложения:

Ответы

Ответ дал: amin07am
0
Ответ-☆☆☆☆☆☆☆☆●☆☆☆☆☆☆
Приложения:
Вас заинтересует