Ответы
Ответ дал:
0
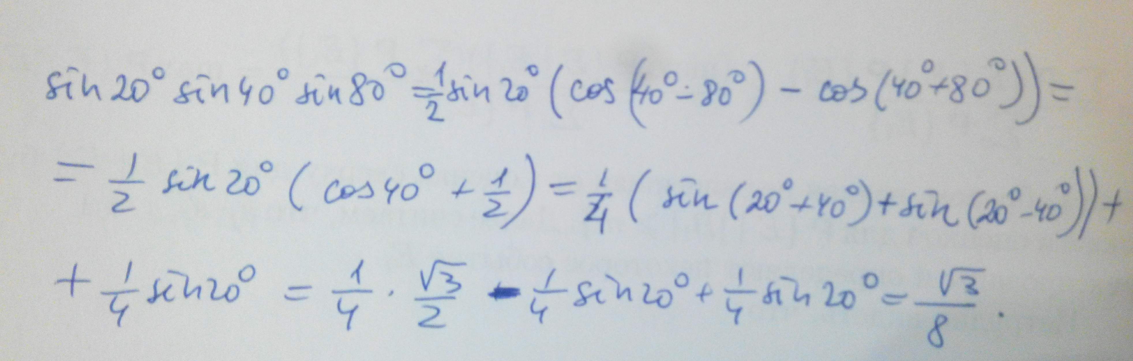
Решение на фото. Применялись формулы
sin(a)sin(b)=(1/2)(cos(a-b)-cos(a+b)), и затем
sin(a)cos(b)=(1/2)(sin(a-b)+sin(a+b)).
sin(a)sin(b)=(1/2)(cos(a-b)-cos(a+b)), и затем
sin(a)cos(b)=(1/2)(sin(a-b)+sin(a+b)).
Приложения:
Вас заинтересует
8 лет назад
8 лет назад
11 лет назад
11 лет назад
11 лет назад