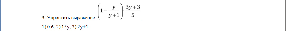
Помогите пожалуйста, решить задание по алгебре! Огромное спасибо! (скрин задания прилагается)
Приложения:

Ответы
Ответ дал:
0
....................
Приложения:

Ответ дал:
0
Я поняла, большое спасибо!
Вас заинтересует
2 года назад
2 года назад
3 года назад
3 года назад
9 лет назад
9 лет назад
10 лет назад