Ответы
Ответ дал:
0
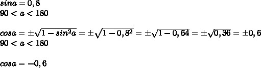
Что-то такое... Думаю всё правильно, удачи...
Приложения:

Ответ дал:
0
ничего не нашла
Ответ дал:
0
хмм
Ответ дал:
0
А ты попробуй в поисковике набери тему
Ответ дал:
0
И нажми на видео, они там будут, учителя сами рассказывают!
Ответ дал:
0
набрала 0 поисков
Вас заинтересует
2 года назад
3 года назад
3 года назад
9 лет назад
9 лет назад
10 лет назад