• Предмет: Алгебра
  • Автор: Аноним
  • Вопрос задан 9 лет назад

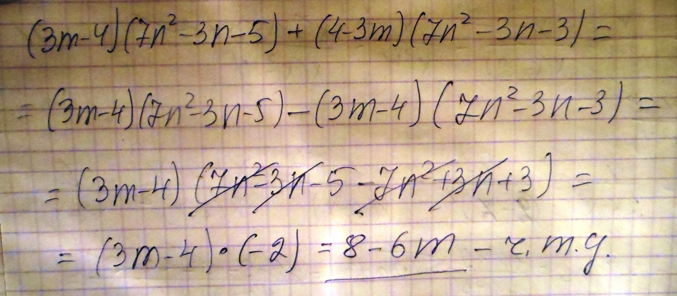
Довести тотожность:
(3m-4)(7n²
-3n-5)+(4-3m)(7n²-3n-3)=8-6m

Ответы

Ответ дал: miron2077
0
!!!!!!!!!!!!!!!!!!!!!!!
Приложения:
Ответ дал: Аноним
0
что означает ч.т.у?
Ответ дал: miron2077
0
ч.т.д. - что требовалось доказать! Просто сокращение!
Ответ дал: Аноним
0
ясно спасибо
Вас заинтересует