Ответы
Ответ дал:
1
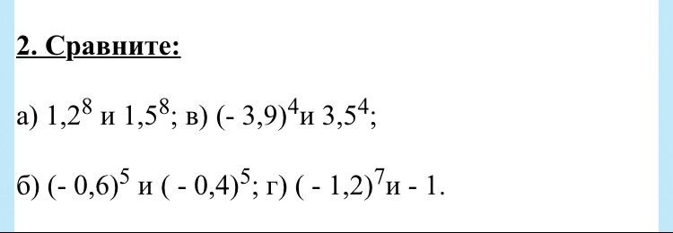
а) 1,2^8 и 1,5^8
Надо сравнить их основания, потому что у них степень одинаковый , а основания разные: 1,2<1,5; и поэтому: 1,2^8<1,5^8
б) (-0,6)^5 и (-0,4)^5
здесь тоже самое делаем. Сравниваем их основания: (-0,6)<(-0,4)
и поэтому: (-0,6)^4<(-0,4)^4
в) (-3,9)⁴ и 3,5⁴
Здесь тоже самое ещё раз делаем. Надо сравнить их основания: (-3,9)<3,5
и поэтому: (-3,9)⁴< 3,5⁴
г) (-1,2)^7 и -1
А здесь мы можем -1 представить как (-1)^7=-1. И у нас тот же самый ответ получается. И это означает что 1 в какой степени бы ни был ответ будет 1.
И у нас получилось что основания разные, а степени одинаковые. И как варианты а,б,в будем основания сравнить: -1,2< -1. И поэтому (-1,3)^7<(-1)^7
Надо сравнить их основания, потому что у них степень одинаковый , а основания разные: 1,2<1,5; и поэтому: 1,2^8<1,5^8
б) (-0,6)^5 и (-0,4)^5
здесь тоже самое делаем. Сравниваем их основания: (-0,6)<(-0,4)
и поэтому: (-0,6)^4<(-0,4)^4
в) (-3,9)⁴ и 3,5⁴
Здесь тоже самое ещё раз делаем. Надо сравнить их основания: (-3,9)<3,5
и поэтому: (-3,9)⁴< 3,5⁴
г) (-1,2)^7 и -1
А здесь мы можем -1 представить как (-1)^7=-1. И у нас тот же самый ответ получается. И это означает что 1 в какой степени бы ни был ответ будет 1.
И у нас получилось что основания разные, а степени одинаковые. И как варианты а,б,в будем основания сравнить: -1,2< -1. И поэтому (-1,3)^7<(-1)^7
Вас заинтересует
2 года назад
2 года назад
3 года назад
3 года назад
9 лет назад