• Предмет: Математика
  • Автор: УльянаПасынкова
  • Вопрос задан 2 года назад

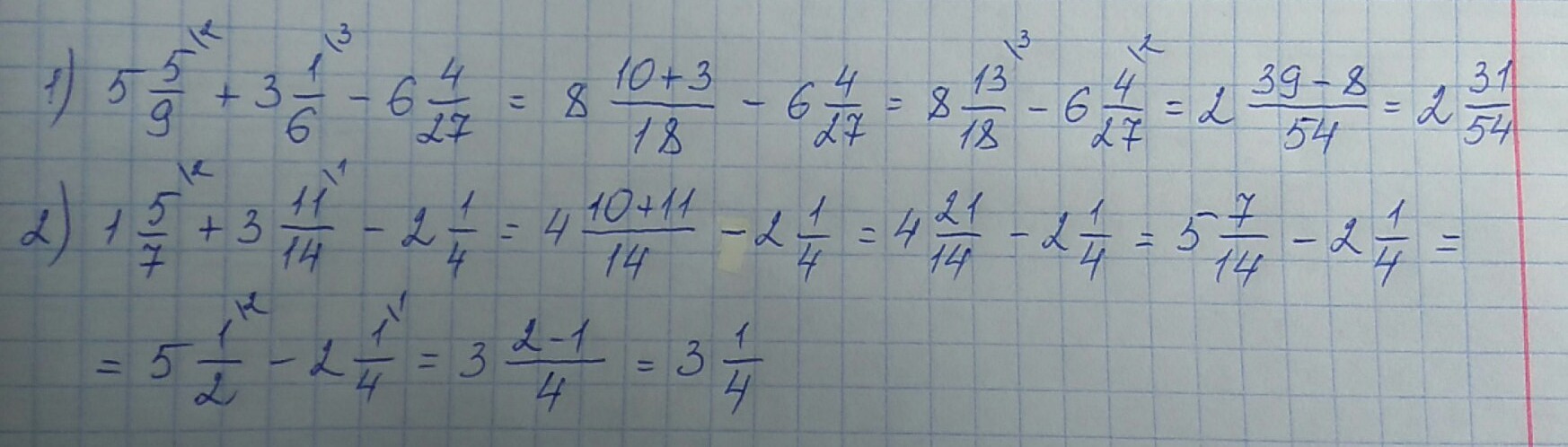
Выполните действия 1) 5 5/9+3 1/6-6 4/27, 2)1 5/7+3 11/14-2 1/4,

Ответы

Ответ дал: anna2501v
3
Можно переводить в неправильные дроби, но получатся большие числа.
Приложения:

УльянаПасынкова: спасибо, ещё помоги с другими я написала
УльянаПасынкова: anna2501v помоги решить 3) 12 13/48-(9 17/32-4 5/24), 4) (18-10 18/35)-(3 9/28+2 3/20).
anna2501v: Решила. Как переслать фото?
УльянаПасынкова: А сюда нельзя переслать сюда фото
anna2501v: могу скинуть на почту
УльянаПасынкова: Анна ,я написала заново вопрос попробуй скинуть туда
Вас заинтересует