• Предмет: Алгебра
  • Автор: ElenaSpilberg11
  • Вопрос задан 2 года назад

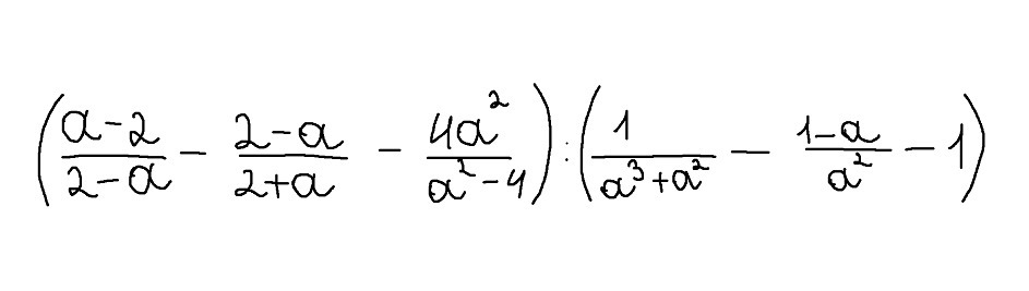
Помогите решить пример по алгебре. Перепробовала всё. Не получается(


Приложения:

Ответы

Ответ дал: Sqeeze
1
Как-то так, тут много, старался писать подробно
Приложения:
Вас заинтересует