• Предмет: Алгебра
  • Автор: iskra02
  • Вопрос задан 2 года назад

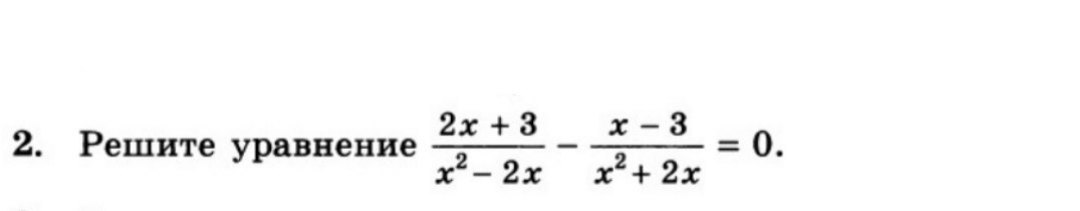
Помогите решить ПжПжПж!!!!!!

Приложения:

Ответы

Ответ дал: ВладимирБ
1
Решение смотри на фото
Приложения:
Вас заинтересует