Упростите пожалуйста выражение:
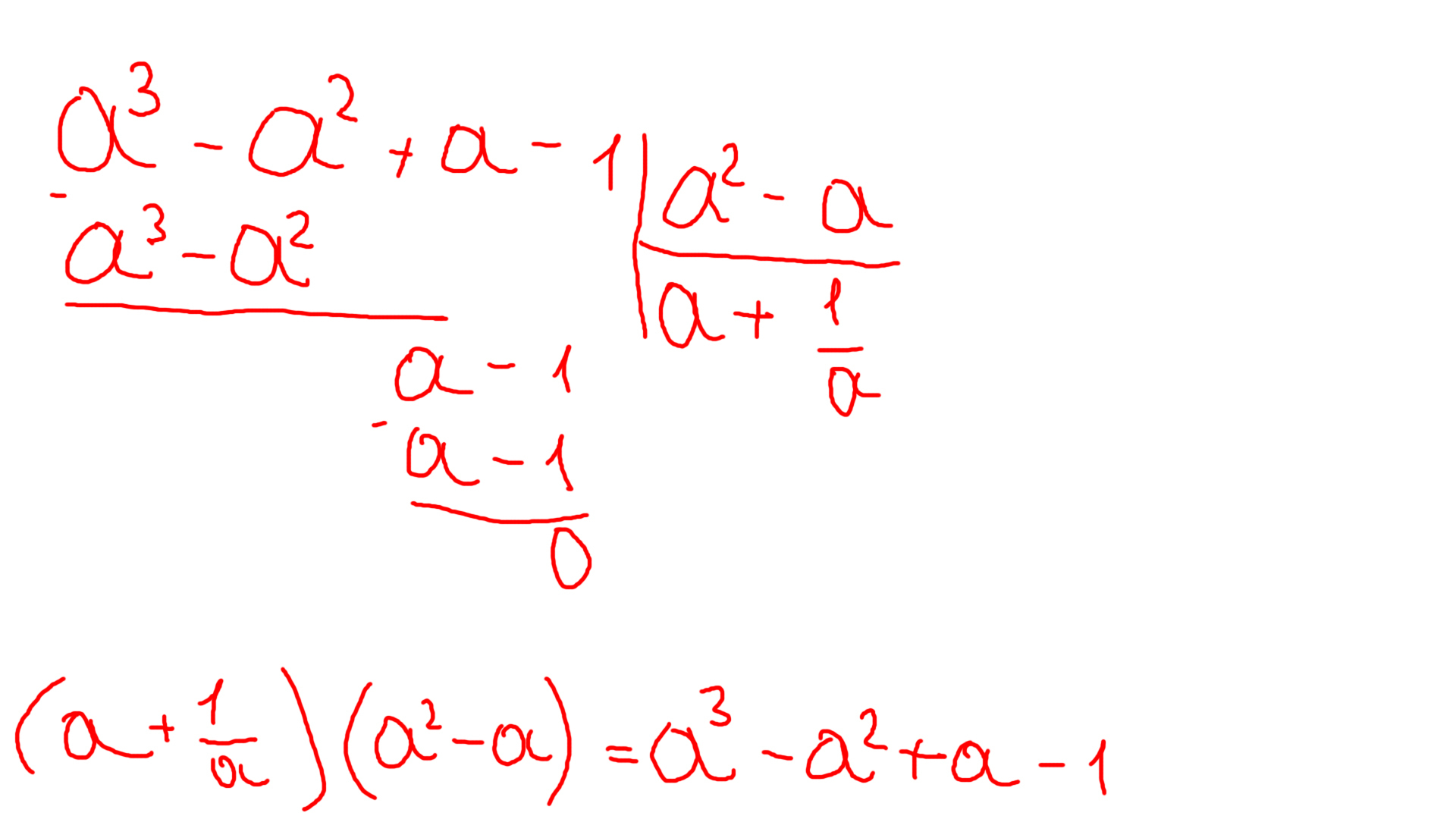
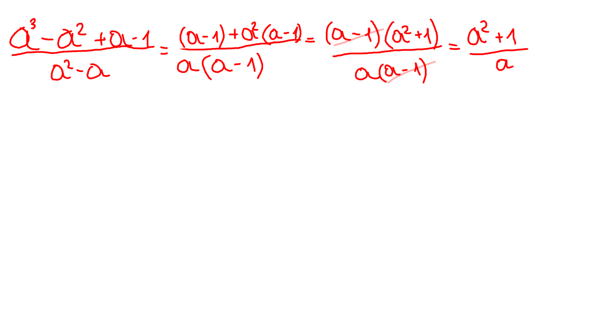
а^3-а^2+а-1/а^2-а
hmadaminova002:
Напишите понятней
Ответы
Ответ дал:
1
Приложения:


Вас заинтересует
1 год назад
2 года назад
2 года назад
3 года назад
3 года назад