• Предмет: Алгебра
  • Автор: likni
  • Вопрос задан 2 года назад

Найдите значения выражения 33б 7-8 класс
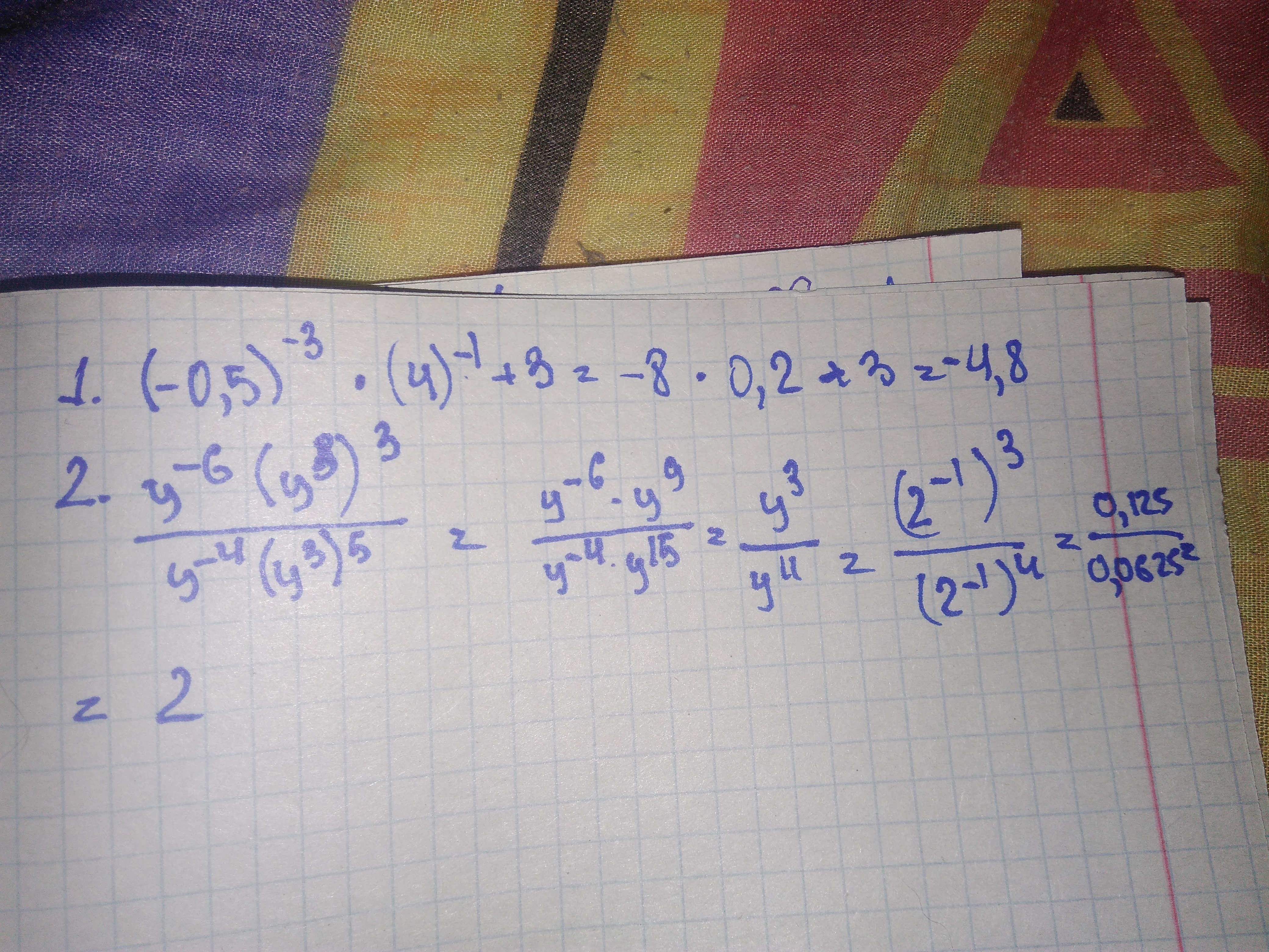
1. (-0,5)^-3*(4)^-1+3
2. y^-6(y^3)^3/y^-4*(y^3)^5 при y=2^-1

Ответы

Ответ дал: Пусик011
1
Вот решение для 1. 2 не могу понять, как Вы записали пример
Приложения:

Alferd: Господи, как вы решали? Ответ неверный получается. Нужно же возводить в степень, а не просто от балды писать
likni: Ответ, как раз у него то и верный
Пусик011: Я подробно перерешала, не получается отправить
likni: Спасибо и на этом)))
Ответ дал: Alferd
0
Вот как то так, но на 100% Я не уверен:
Приложения:
Вас заинтересует