Ответы
Ответ дал:
0
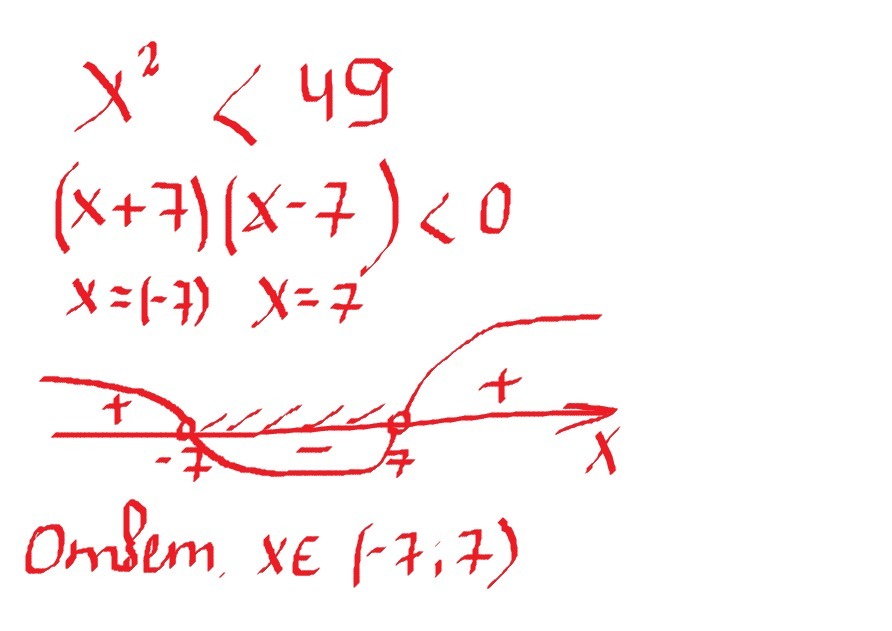
x^2-49<0
f(x)=x^2-49
D(f)=R
f(x)=0,x^2-49=0
x^2=49
x=+-7
f(x)<0 при x принадлежащий промежутку (-7;7)
Ответ: (-7;7)
f(x)=x^2-49
D(f)=R
f(x)=0,x^2-49=0
x^2=49
x=+-7
f(x)<0 при x принадлежащий промежутку (-7;7)
Ответ: (-7;7)
Ответ дал:
0
Вот решение, смотри фото...
Приложения:
Вас заинтересует
2 года назад
2 года назад
2 года назад
2 года назад
3 года назад
9 лет назад