Ответы
Ответ дал:
0
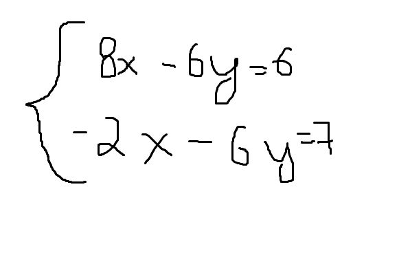
{8x - 6y = 6| *(-1)
{-2x - 6y = 7
{-8x + 6y = -6
{-2x - 6y = 7
{-2x - 6y = 7
{-10x = 1
{-2x - 6y = 7
{x = -0,1
{x = -0,1
{y = -3,2
{-2x - 6y = 7
{-8x + 6y = -6
{-2x - 6y = 7
{-2x - 6y = 7
{-10x = 1
{-2x - 6y = 7
{x = -0,1
{x = -0,1
{y = -3,2
Вас заинтересует
3 года назад
8 лет назад
8 лет назад
11 лет назад