• Предмет: Алгебра
  • Автор: KanamatBatrukov
  • Вопрос задан 2 года назад

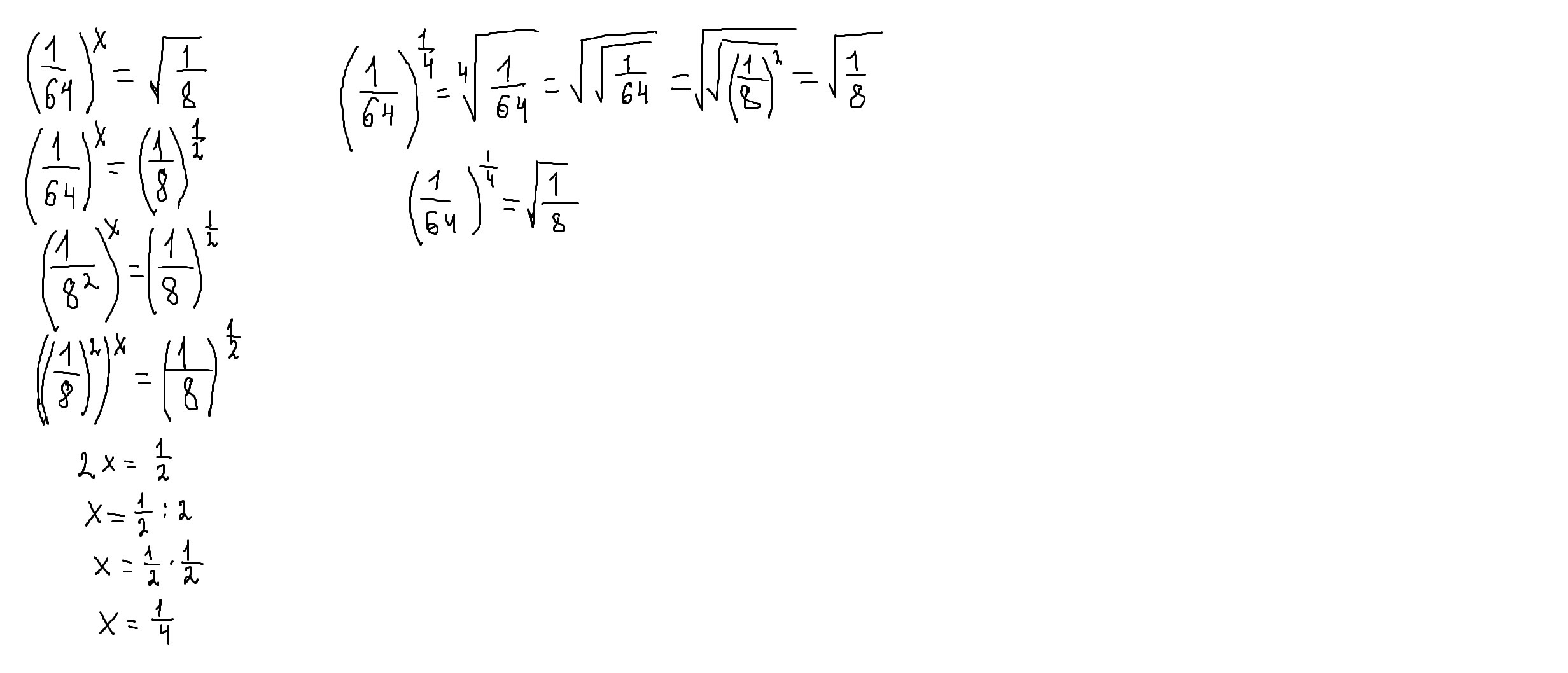
(1/64) в степени х =√1/8


AlfaAndOmega: тебе решение ведь нужно, не только ответ?
KanamatBatrukov: да

Ответы

Ответ дал: parus77
0
решение внизу на картинке
Приложения:
Вас заинтересует