Ответы
Ответ дал:
1
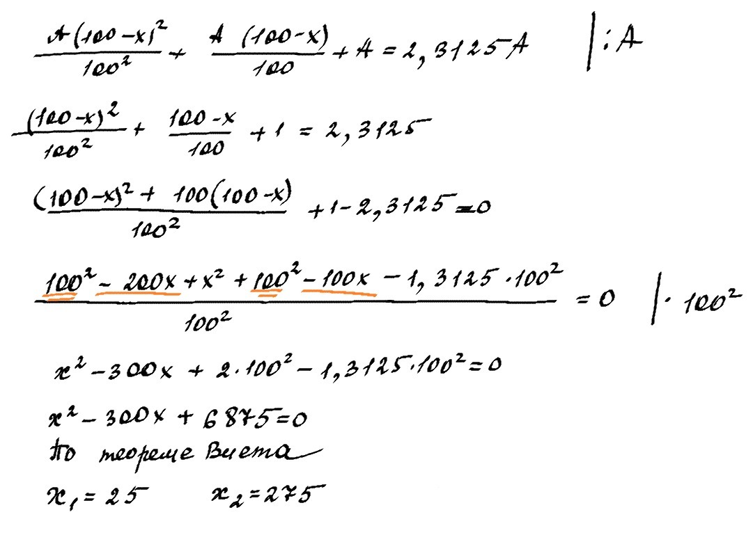
Решение в прикрепленном файле.
Приложения:

keckush:
спасибо огромное
Ответ дал:
1
сокращаем на А приводим к общему знаменателю
(100-x)/100=t t²+t+1=2.3125 t²+t-1.3125=0
D=1+4*1.3125=6.25 √D=2.5
t1=1/2[-1-2.5]=-1.75 t2=1/2[-1+2.5]=1.25
1-x/100=-1.75 x/100=2.75 x=275
1-x/100=1.25 x/100=1-1.25=-0.25 x= -25
(100-x)/100=t t²+t+1=2.3125 t²+t-1.3125=0
D=1+4*1.3125=6.25 √D=2.5
t1=1/2[-1-2.5]=-1.75 t2=1/2[-1+2.5]=1.25
1-x/100=-1.75 x/100=2.75 x=275
1-x/100=1.25 x/100=1-1.25=-0.25 x= -25
Вас заинтересует
1 год назад
1 год назад
2 года назад
2 года назад
3 года назад
8 лет назад