• Предмет: Математика
  • Автор: turbina2016
  • Вопрос задан 2 года назад

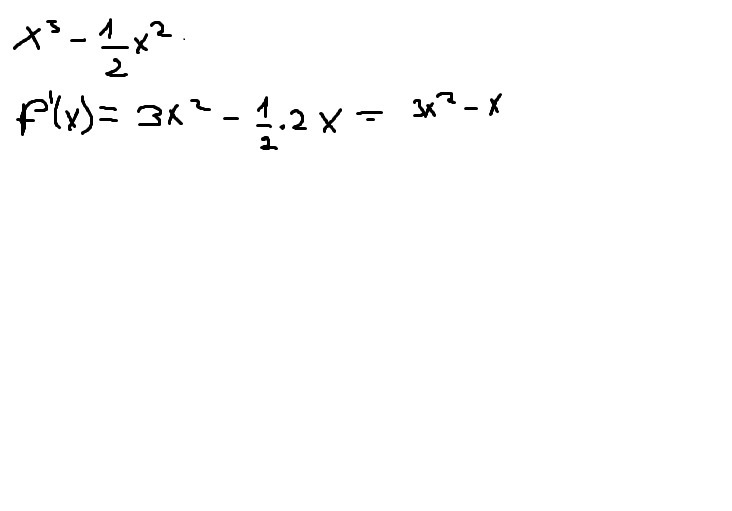
найдите производную функции х^3-0,5х^2

Ответы

Ответ дал: barenzi
0
........................
Приложения:

turbina2016: И это правильно?
Вас заинтересует