• Предмет: Математика
  • Автор: николь239
  • Вопрос задан 2 года назад

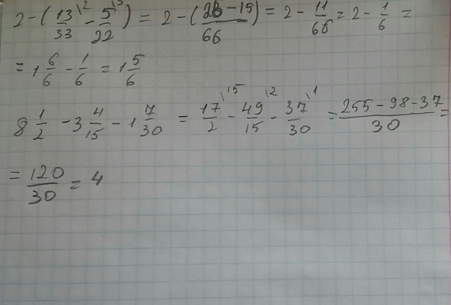
помогите решить!!!!!!!!!!!!!!!!!!!!!!

Приложения:

Ответы

Ответ дал: barenzi
0
17171717171717171111111111
Приложения:
Вас заинтересует