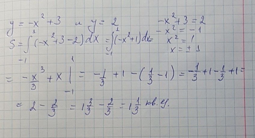
Вычислите площадь фигуры,ограниченной линиями:
у= -х^2 + 3 и у=2
Помогите пожалуйста!
Заранее спасибо!
Ответы
Ответ дал:
2
решение задания смотри на фотографии
Приложения:
подкожного:
пожалуйста
Вас заинтересует
2 года назад
2 года назад
2 года назад
3 года назад
3 года назад
9 лет назад
9 лет назад