• Предмет: Алгебра
  • Автор: slon21
  • Вопрос задан 2 года назад

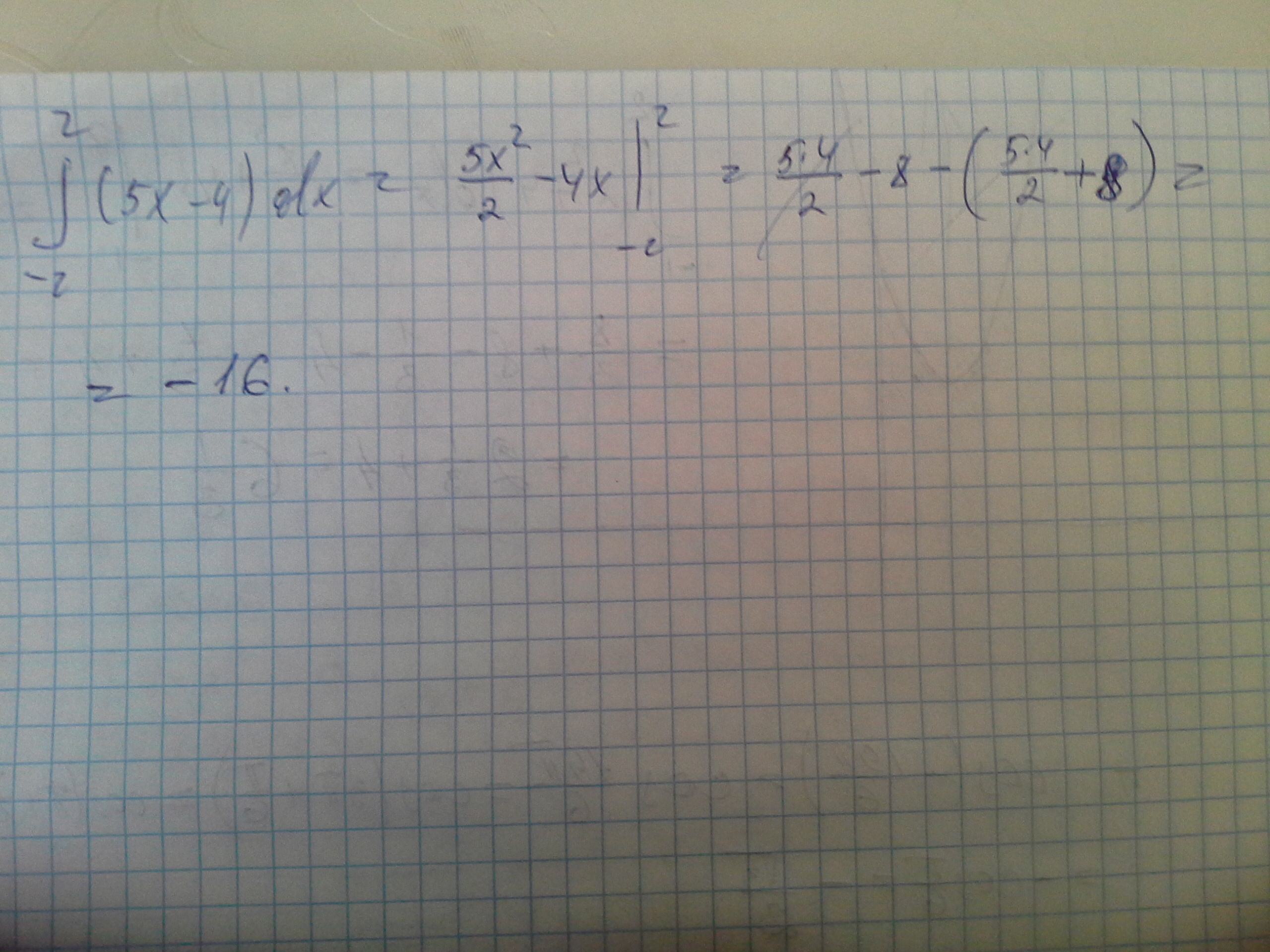
вычислите интеграл
(5х-4)dx на отрезке [2;-2]
Пожалуйста!

Ответы

Ответ дал: irishkax1
2
!!!!!!!!!!!!!!!!!!!!!!!!!!!!!!
Приложения:
Вас заинтересует