Ответы
Ответ дал:
1
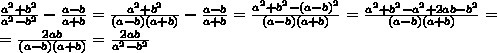
Вот я решил вроде правельно. Удачи братан
Приложения:

Вас заинтересует
1 год назад
2 года назад
2 года назад
3 года назад
8 лет назад