Ответы
Ответ дал:
1
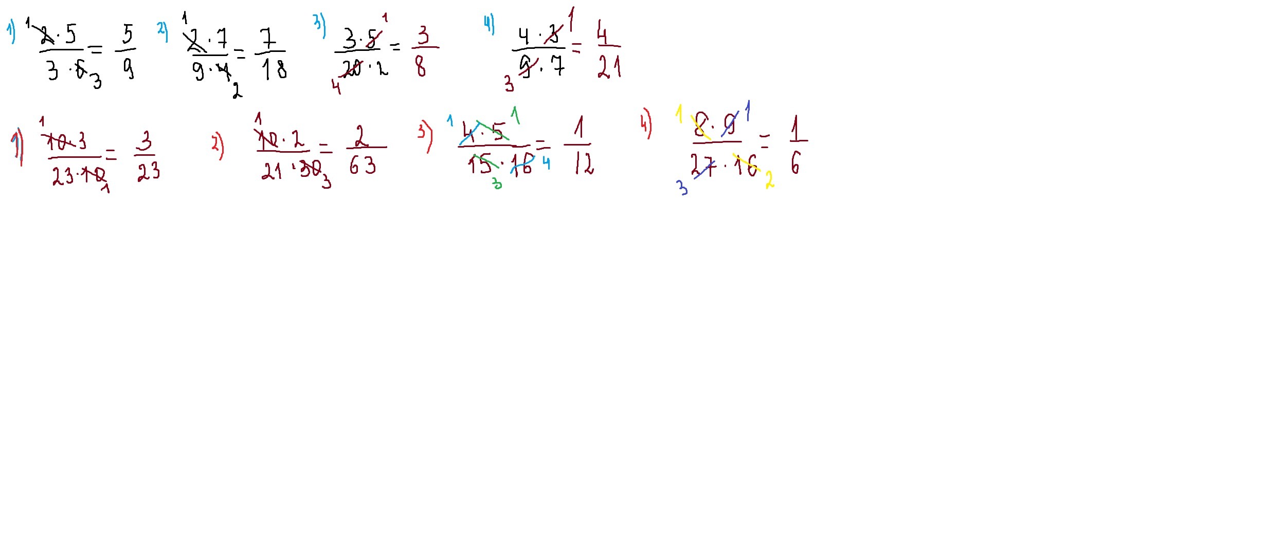
a)10/18 cокращаем на 2, получаем 5/9
б)14/36 сокращаяем 2, получаем 7/18
в)15/40 сокращаем на 5, получаем 3/8
г)12/63 сокарщаем на 3, получаем 4/21
б)14/36 сокращаяем 2, получаем 7/18
в)15/40 сокращаем на 5, получаем 3/8
г)12/63 сокарщаем на 3, получаем 4/21
Ответ дал:
1
решение внизу на картинке
Приложения:
Вас заинтересует
2 года назад
2 года назад
3 года назад
3 года назад
9 лет назад
9 лет назад