Ответы
Ответ дал:
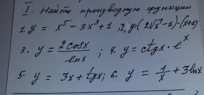
1
1) y = x⁵ - 3x³ + 1
y ' = (x⁵ - 3x³ + 1) ' = 5x⁴ - 9x²
2) y = 2
- 1) * (x + 1)
y ' = (2
- 1) ' *(x + 1) + (2
- 1)(x + 1) ' =
=
(x + 1) + (2
- 1)
3) y =
y ' =
4) y = ctgx *
y ' = (ctgx) ' *
+ ctgx * (
)' = -
*
+ ctgx *
=
(-
+ ctgx)
5) y = 3x + tgx
y' = (3x)' + (tgx)' = 3 +
6) y =
+ 3lnx
y' = (
)' + (3lnx)' = -
+
=
y ' = (x⁵ - 3x³ + 1) ' = 5x⁴ - 9x²
2) y = 2
y ' = (2
=
3) y =
y ' =
4) y = ctgx *
y ' = (ctgx) ' *
5) y = 3x + tgx
y' = (3x)' + (tgx)' = 3 +
6) y =
y' = (
bahromt1999200:
Спасибо большое
можете еще с этим помочь пожалуйста Помните , СРОЧНО !!! ПОЖАЛУЙСТА
https://znanija.com/task/25925928?utm_source=android&utm_medium=share&utm_campaign=question
https://znanija.com/task/25925928?utm_source=android&utm_medium=share&utm_campaign=question
Вас заинтересует
2 года назад
2 года назад
2 года назад
2 года назад
3 года назад
3 года назад
9 лет назад