Простейшие показательные уравнения. 11 класс.
Очень бы хотелось чтобы кто-то помог решить эти уравнения, или хотя бы показал примеры решения таких уравнений. Буду очень благодарна за помощь.
Приложения:
MizoriesKun:
решать будем ?
Да, я сейчас тут.
12 это слишком много для одного задания , решаем первые 6
Буду очень благодарна и за это.)
все очень просто , приводим к одинаковым основаниям
Допустим, что из представленных уравнений привести к одинаковому основанию я могу только 4. Как остальные до этого довести я не очень понимаю.
1/2 =2^(-1)
значит 1/4 =2^(-2)
понимаешь к чему ведем ?
поехали))
Ответы
Ответ дал:
1
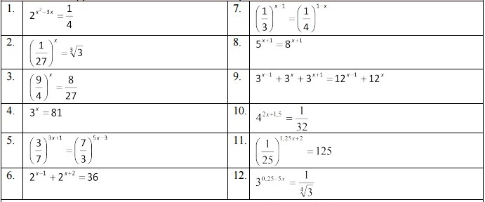
2^(x²-3x)=1/4
2^(x²-3x)=2^(-2)
x²-3x=-2
x²-3x+2=0
D=9-8=1
x₁=(3+1)/2=2
x₂=(3-1)/2=1
-----------------------------------------------------------------------------------------------------
(1/27)ˣ=∛3
3⁻³ˣ =3¹/³
-3x=1/3
x= -1/9
---------------------------------------------------------------------------------------------------
(9/4)ˣ= 8/27
(3/2)²ˣ=(2/3)³
(3/2)²ˣ =(3/2)⁻³
2x=-3
x=-1,5
---------------------------------------------------------------------------------------------
3ˣ=81
3ˣ=3⁴
x=4
--------------------------------------------------------------------------------------------
(3/7)³ˣ⁺¹ =(7/3)⁵ˣ⁻³
(3/7)³ˣ⁺¹ =(3/7)⁻⁽⁵ˣ⁻³⁾
(3/7)³ˣ⁺¹ =(3/7)³⁻⁵ˣ
3x-1 =3-5x
3x+5x=3+1
8x=4
x=1/2
-------------------------------------------------------------------------
2ˣ⁻¹ +2ˣ⁺² =36
(2ˣ/2) +2²*2ˣ=36
2ˣ*(1/2 +4 )=36
2ˣ *4,5 =36
2ˣ=8
2ˣ=2³
x=3
2^(x²-3x)=2^(-2)
x²-3x=-2
x²-3x+2=0
D=9-8=1
x₁=(3+1)/2=2
x₂=(3-1)/2=1
-----------------------------------------------------------------------------------------------------
(1/27)ˣ=∛3
3⁻³ˣ =3¹/³
-3x=1/3
x= -1/9
---------------------------------------------------------------------------------------------------
(9/4)ˣ= 8/27
(3/2)²ˣ=(2/3)³
(3/2)²ˣ =(3/2)⁻³
2x=-3
x=-1,5
---------------------------------------------------------------------------------------------
3ˣ=81
3ˣ=3⁴
x=4
--------------------------------------------------------------------------------------------
(3/7)³ˣ⁺¹ =(7/3)⁵ˣ⁻³
(3/7)³ˣ⁺¹ =(3/7)⁻⁽⁵ˣ⁻³⁾
(3/7)³ˣ⁺¹ =(3/7)³⁻⁵ˣ
3x-1 =3-5x
3x+5x=3+1
8x=4
x=1/2
-------------------------------------------------------------------------
2ˣ⁻¹ +2ˣ⁺² =36
(2ˣ/2) +2²*2ˣ=36
2ˣ*(1/2 +4 )=36
2ˣ *4,5 =36
2ˣ=8
2ˣ=2³
x=3
будут вопросы ,пиши )) остальное можешь оформить в виде нового задания
Спасибо Вам большое! Очень понятно объяснили! Постараюсь остальное решить сама, а если возникнут трудности я с радостью обращусь к Вам за помощью.)
Вас заинтересует
2 года назад
2 года назад
2 года назад
3 года назад
3 года назад