• Предмет: Химия
  • Автор: Kisakosmos
  • Вопрос задан 2 года назад

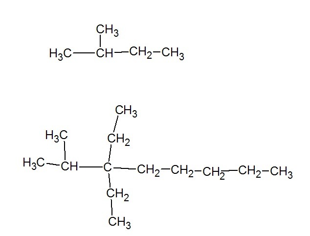
Напишите структурные формулы соединений по их названиям: а) 2-метилбутан; б) 2-метил-3,3-диэтилоктан.

Ответы

Ответ дал: OrgaNic12
6
Вот вам фото. 2-метилбутан
Приложения:
Ответ дал: Alfiusha13makoneko
13
смотри вложение ....
Приложения:
Вас заинтересует