• Предмет: Алгебра
  • Автор: Andrey5454
  • Вопрос задан 2 года назад

Помогите пожалуйста подробное решение!!!

Приложения:

Ответы

Ответ дал: SinyusH
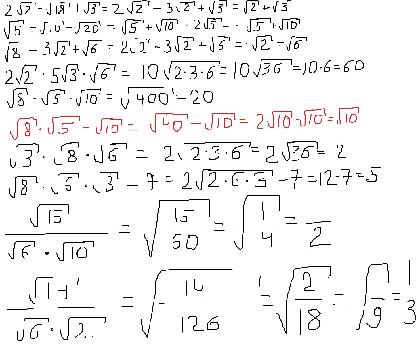
3
Красным помечен пример, знак которого в присланном вами задании неразборчив (рассмотрено умножение и красным цветом минус).
Приложения:

Andrey5454: Там был знак умножения)
Andrey5454: Спасибо вам огромное, вы меня выручили !
SinyusH: Значит впредь лучше отсылать разборчивые задания. Знак умножения там рассмотрен черным цветом выше красного. Красный тогда можно не трогать.
SinyusH: Отметка "Лучший ответ" и кнопка "Спасибо" - лучшая благодарность. :)
Andrey5454: В будущем буду аккуратней писать задания, еще раз спасибо большое)
Вас заинтересует