Ответы
Ответ дал:
3
Не пределы, а подарок.
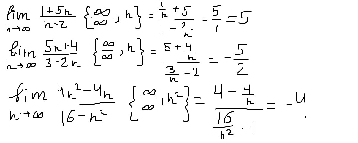
Везде одинаковая неопределенность в виде бесконечность делить на бесконечность.
Избавляемся делением всех членов предела на старшую степень неизвестного. В итоге избавляемся от неопределенности в одно действие.
Везде одинаковая неопределенность в виде бесконечность делить на бесконечность.
Избавляемся делением всех членов предела на старшую степень неизвестного. В итоге избавляемся от неопределенности в одно действие.
Приложения:
Отличница5515:
Спасибо большое
Вас заинтересует
2 года назад
2 года назад
3 года назад
3 года назад
9 лет назад