• Предмет: Математика
  • Автор: denivak
  • Вопрос задан 9 лет назад

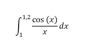
Вычислить определённый интеграл с точностью до 0,001

Приложения:

Ответа на этот вопрос пока нет. Попробуйте найти его через форму поиска.

Вас заинтересует