Ответы
Ответ дал:
0
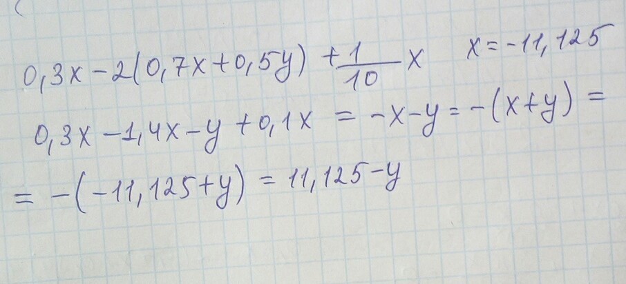
0,3х-2(0,7х+0,5у)+1/10х =0,3x-1,4x-y+0,1x=-x-y
при x =-11,125
-(-11,125)-y = 11,125-y
при x =-11,125
-(-11,125)-y = 11,125-y
Ответ дал:
0
ответь:
-х+у=-(-11.125+у)=11.125-у
-х+у=-(-11.125+у)=11.125-у
Приложения:
Вас заинтересует
2 года назад
2 года назад
3 года назад
3 года назад
9 лет назад
10 лет назад