• Предмет: Алгебра
  • Автор: FasTer1337liveNice
  • Вопрос задан 9 лет назад

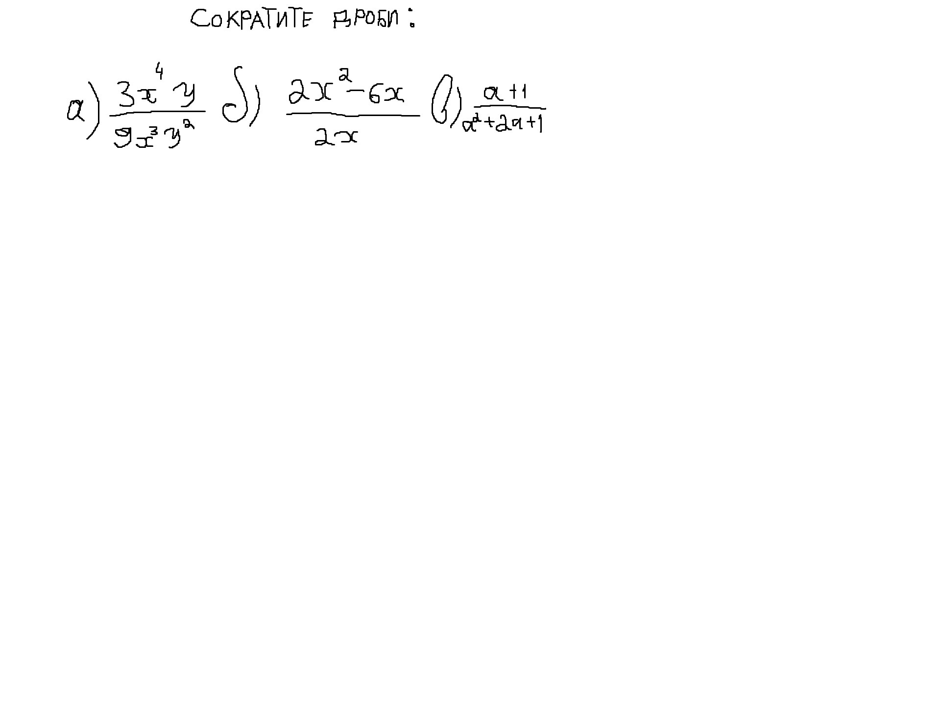
Помогите сократить дроби:

Приложения:

Ответы

Ответ дал: русская25
0
 frac{3x^{4}y}{9x^{3}y^{2}} =   frac{x}{3y}  \  frac{2x^{2}-6x}{2x}= frac{2x(x-3)}{2x}= x-3 \  frac{a+1}{a^{2}+2a+1}=  frac{a+1}{(a+1)^{2}}=  frac{1}{a+1}
Ответ дал: LubaIvanova160
0
а) х/3у
б) х-3
в) 1/а+1
Вас заинтересует