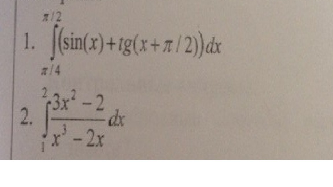
№1 вычислить определенный интеграл непосредственным интегрированием
№2 вычислить определенный интеграл способом
Приложения:
Ответы
Ответ дал:
0
Посмотрите предложенный вариант.
Оформление не соблюдалось.
Оформление не соблюдалось.
Приложения:
Вас заинтересует
2 года назад
2 года назад
3 года назад
3 года назад
9 лет назад
10 лет назад