• Предмет: Алгебра
  • Автор: alina1427
  • Вопрос задан 9 лет назад

СРОЧНО!
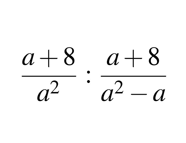
найдите значение выражения (выше на фото) при а = - 0,8

Приложения:

Ответа на этот вопрос пока нет. Попробуйте найти его через форму поиска.

Вас заинтересует