Ответы
Ответ дал:
0
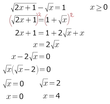
когда в выражении два корня,
удобнее "уединить" один --так в квадрат возводить проще...
и всегда обязательно делать проверку!!
удобнее "уединить" один --так в квадрат возводить проще...
и всегда обязательно делать проверку!!
Приложения:

Вас заинтересует
2 года назад
2 года назад
3 года назад
3 года назад
9 лет назад
9 лет назад