• Предмет: Математика
  • Автор: йцукеныв
  • Вопрос задан 9 лет назад

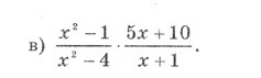
ПОМОГИТЕ РЕШИТЬ ПРИМЕР

Приложения:

Ответы

Ответ дал: Banabanana
0
 cfrac{x^2-1}{x^2-4} * cfrac{5x+10}{x+1} = cfrac{(x-1)(x+1)}{(x-2)(x+2)} * cfrac{5(x+2)}{x+1} =cfrac{5(x-1)}{x-2} =cfrac{5x-5}{x-2}
Ответ дал: йцукеныв
0
почему 5х-5? разве не 5х-1?
Ответ дал: Banabanana
0
перед скобками 5, раскрывая скобки умножаем х на 5, получаем 5х, затем умножаем -1 на 5, получаем -5
Ответ дал: йцукеныв
0
поняла, спасибо
Ответ дал: Banabanana
0
пожалуйста)
Вас заинтересует