• Предмет: Математика
  • Автор: йцукеныв
  • Вопрос задан 9 лет назад

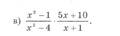
ПОМОГИТЕ РЕШИТЬ ПОЖАЛУЙСТА

Приложения:

Ответы

Ответ дал: lenapanova
0
..........................
Приложения:
Ответ дал: йцукеныв
0
спасибо большое
Ответ дал: lenapanova
0
пожалуйста
Ответ дал: Banabanana
0
пятерка потерялась в конце
Ответ дал: йцукеныв
0
хорошо
Ответ дал: Banabanana
0
 cfrac{x^2-1}{x^2-4} * cfrac{5x+10}{x+1} = cfrac{(x-1)(x+1)}{(x-2)(x+2)} * cfrac{5(x+2)}{x+1} =cfrac{5(x-1)}{x-2} =cfrac{5x-5}{x-2}
Приложения:
Вас заинтересует